18/06/2025
Tudo se evapora: o fim do Universo pode chegar antes do esperado
Já sabíamos que buracos negros evaporam - agora, talvez o Universo inteiro também.

Três cientistas da Universidade de Radboud, na Holanda, realizaram pesquisas cujos resultados os levaram à conclusão de que todos os corpos que habitam nosso Universo se "evaporam" aos poucos.
Eles são Heino Falcke (radioastrônomo, especialista em buracos negros), Michael Wondrak (físico quântico) e Walter van Suijlekom (matemático). Os resultados de seus estudos foram divulgados em dois artigos científicos.
O primeiro, intitulado Gravitational Pair Production and Black Hole Evaporation (A produção de pares gravitacionais e a evaporação de buracos negros), foi publicado na edição digital da Physical Review Letters em 2 de junho de 2023, lançando as bases da teoria proposta pelos três pesquisadores. No mais recente, An Upper Limit to the Lifetime of Stellar Remnants from Gravitational Pair Production (Um limite superior para a vida útil dos remanescentes estelares da produção de pares gravitacionais), publicado no último dia 12 de maio no Journal of Cosmology and Astroparticle Physics, os estudos se expandem e são fortemente demonstrados matematicamente.
Fundamentos
1. Formação de pares de partículas virtuais
O vácuo não é exatamente um espaço totalmente vazio. Nele ocorrem perturbações chamadas de flutuações quânticas, que acarretam o surgimento de pares partícula-antipartícula.
Matéria e antimatéria se aniquilam mutuamente, e isso é o que normalmente acontece com esses pares. Dessa forma, seu tempo de vida é curtíssimo e, por isso, as partículas são chamadas de virtuais. Elas não são detectáveis, ou seja, são uma construção teórica e não chegam a existir de fato.
No entanto, na presença de um campo de fundo suficientemente intenso, essas partículas podem se separar o bastante para continuarem existindo, tornando-se partículas reais.
O fenômeno acontece, por exemplo, em um campo elétrico. Em 1951, o físico norte-americano Julian Schwinger (1918-1994) calculou a intensidade necessária desse tipo de campo para que ocorra a formação de pares reais elétron-pósitron (efeito Schwinger).

[Créditos da imagem (adaptada): M. F. Wondrak et al. [1], in Gravitational Pair Production and Black Hole Evaporation]
2. Decadência de buracos negros
Em 1974, o físico e cosmólogo britânico Stephen Hawking (1942-2018) demonstrou teoricamente - a despeito da ideia geral de que nada escapa de um buraco negro - que algo escapa sim: uma tênue radiação, batizada de radiação Hawking.
Nessa concepção, as partículas de um par que se forma nas proximidades do horizonte de eventos eventualmente se afastam por tempo suficiente para que uma delas caia no buraco, enquanto a outra se afasta lentamente para o exterior, compondo a referida radiação.
Nesse processo, a partícula que escapa "rouba" massa do buraco negro. Assim, com a sucessiva perda de matéria e energia, o buraco negro gradualmente se evapora (decai), até deixar de existir - após um período da ordem de trilhões de anos.
A nova teoria
Falcke, Wondrak e Suijlekom demonstraram matematicamente que a radiação Hawking é um caso particular de um fenômeno mais geral. Inclusive, a emissão de radiação por buracos negros pode ocorrer mesmo fora das imediações do horizonte de eventos.
Isso se deve à deformação do espaço-tempo, que também se verifica nas regiões de outros objetos densos, como estrelas de nêutrons e anãs brancas - as quais emitem partículas a partir de suas superfícies (que não existem em buracos negros). Essa é uma conclusão natural, já que a presença do horizonte de eventos não é absolutamente necessária.
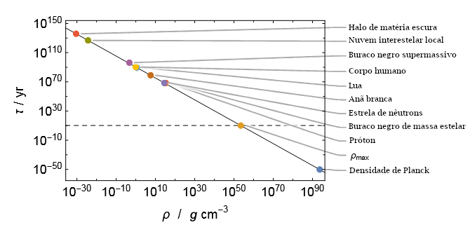
Generalizando ainda mais, os três pesquisadores propõem que qualquer tipo de corpo presente no Universo está sujeito à evaporação, sendo que o tempo necessário para isso depende apenas da densidade de cada objeto.
No artigo mais recente, eles realizaram cálculos sobre a emissão de partículas sem massa (como os fótons) e determinaram a duração máxima de diversos objetos antes de seu decaimento total — incluindo nossa Lua e até o corpo humano.

É surpreendente que o tempo médio de evaporação de buracos negros e estrelas de nêutrons seja aproximado (1068 e 1067 anos, respectivamente). Afinal, buracos negros criam campos gravitacionais muito mais intensos. Mas isso tem uma explicação.
O buraco negro não possui superfície; já a estrela de nêutrons, sim. A ausência de uma fronteira faz com que o buraco negro consiga recuperar parte da energia perdida, que retorna em direção ao centro. Já a estrela de nêutrons emite a partir da superfície - e, nesse caso, não dá pra voltar atrás.
Quando será o fim do mundo?
A teoria mais aceita atualmente postula que o Universo terá seu fim em aproximadamente 101100 anos. Os resultados dos estudos de Falcke, Wondrak e Suijlekom reduzem esse tempo para "apenas" 1078 anos.
Os autores do estudo reconhecem que seus resultados ainda precisam ser objeto de estudos mais aprofundados. No entanto, os cálculos já apresentados são bastante precisos.
Quanto à nossa experiência humana individual, fique tranquilo: não vamos evaporar - não vai dar tempo!. E com certeza também não veremos o fim do Universo.
A previsão para o tempo de evaporação de um ser humano, segundo os autores dos artigos científicos em questão, é de 1090 anos. Muito antes disso, já estaremos em outra vida, talvez em outro Universo...
★ Edição: Mauro Mauler - Artigo publicado em 18/06/2025.
★ Referências principais:
- FALCKE, Heino et al. An upper limit to the lifetime of stellar remnants from gravitational pair production. 12/05/2025: Journal of Cosmology and Astroparticle Physics.
- WONDRAK, Michel F. et al. Gravitational Pair Production and Black Hole Evaporation. 02/06/2023: Physical Review Letters.
- DAY, Charles. Another Way for Black Holes to Evaporate. 02/06/2023: Physical Magazine.
- Radboud University Nijmegen. Everything Evaporates: From Neutron Stars to You, the Universe Is on a Clock. 25/05/2025: SciTechDaily.

